데이터 분석에서 중요한 단계 중 하나가 바로 ‘시각화’입니다.
숫자로만 보면 어렵고 딱딱한 데이터도, 그래프로 보면 훨씬 이해하기 쉬워지죠.
오늘은 R 프로그래밍 언어의 대표 시각화 패키지인 ggplot2를 소개해드릴게요.
ggplot2는 예쁘고 깔끔한 그래프를 손쉽게 그릴 수 있어, 전 세계 데이터 분석가들이 가장 사랑하는 도구 중 하나입니다.
ggplot2란?
ggplot2는 R 언어에서 제공하는 시각화 전용 패키지로, "Grammar of Graphics"라는 철학을 바탕으로 만들어졌습니다. 즉, 데이터를 시각화할 때 마치 문장을 구성하듯 레이어(layer)를 쌓아 완성해 나가는 방식이죠.
- 기본 그래프부터 복잡한 시각화까지 가능
- 깔끔한 디자인과 높은 커스터마이징 자유도
- 논문용, 리포트용 고품질 그래프 제작에 탁월
설치 방법:
ggplot(data = 데이터셋, aes(x = 변수1, y = 변수2)) +
기하객체(geom_)
ggplot(data = mpg, aes(x = displ, y = hwy)) +
geom_point()

- 이 코드는 mpg 데이터에서 배기량(displ)과 고속도로 연비(hwy)의 관계를 산점도(scatter plot)로 나타냅니다.
주요 그래프 유형과 코드 예제
1. 산점도 (Scatter Plot)
연속형 변수 두 개의 관계를 표현할 때 사용합니다.
ggplot(mpg, aes(x = displ, y = hwy)) + geom_point(color = "blue", size = 3)

2. 막대그래프 (Bar Chart)
범주형 변수의 개수를 비교할 때 사용합니다.
ggplot(mpg, aes(x = class)) + geom_bar(fill = "skyblue")

3. 히스토그램 (Histogram)
연속형 변수의 분포를 확인할 때 사용합니다.
ggplot(mpg, aes(x = hwy)) + geom_histogram(binwidth = 2, fill = "orange", color = "white")

4. 선그래프 (Line Chart)
시간 순서나 추세를 나타낼 때 사용합니다.
ggplot(economics, aes(x = date, y = unemploy)) + geom_line(color = "red")

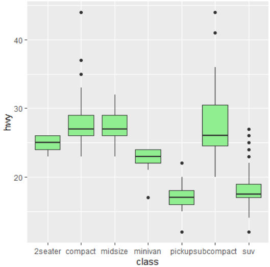
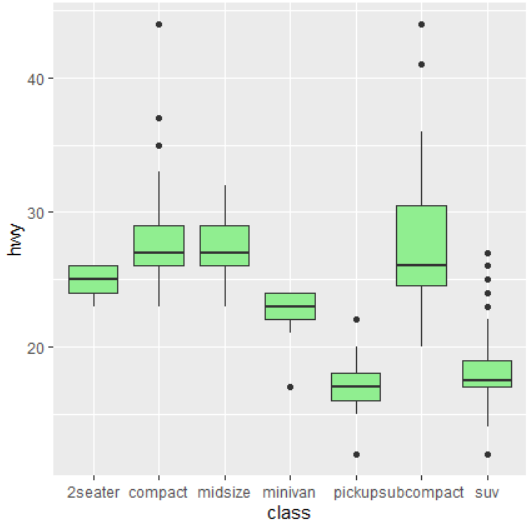
5. 박스플롯 (Boxplot)
그룹별 데이터의 분포와 이상치를 표현합니다.
ggplot(mpg, aes(x = class, y = hwy)) + geom_boxplot(fill = "lightgreen")

테마와 꾸미기
기본 그래프도 좋지만, 보고서나 발표용으로는 좀 더 세련되게 꾸미고 싶을 때가 있죠?
ggplot2는 theme_() 함수나 labs()를 이용해 제목, 축 이름, 폰트, 배경까지 자유롭게 설정할 수 있어요.
ggplot(mpg, aes(x = class, y = hwy)) + geom_boxplot() +
labs(title = "차종별 고속도로 연비", x = "차종", y = "연비") +
theme_minimal()

실무에서 자주 쓰는 팁
- facet_wrap(~ 변수) : 변수 기준으로 여러 개의 그래프를 나열
- geom_smooth() : 추세선 추가
- aes(color = 변수) : 색상으로 범주 구분
ggplot(mpg, aes(x = displ, y = hwy, color = class)) + geom_point() + geom_smooth(se = FALSE)

마무리하며
ggplot2는 처음엔 살짝 복잡하게 느껴질 수 있지만, 한 번 익숙해지면 정말 강력한 시각화 도구입니다.
다양한 그래프를 자유자재로 만들 수 있어 실무 보고서, 연구 자료, 블로그 콘텐츠 제작에도 활용도가 높아요.
데이터를 ‘보이게’ 만들고 싶다면, R과 ggplot2의 조합은 최고의 선택입니다.
지금부터 하나씩 연습해보면서 나만의 시각화 스킬을 키워보세요!
'AI' 카테고리의 다른 글
| AI로 부업 가능할까? 인공지능 자동화 수익모델 소개 (0) | 2025.04.17 |
|---|---|
| 인공지능이란? 초보도 이해하는 AI 개념 총정리 (2) | 2025.04.17 |
| R vs Python : 데이터 분석 언어 선택 가이드 (0) | 2025.04.17 |
| R 프로그래밍 기초부터 실전까지: 입문자를 위한 완벽 가이드 (0) | 2025.04.17 |
| 실무에서 바로 쓰는 빅데이터 분석 도구 TOP 5 (0) | 2025.04.17 |